Saltar la navegación

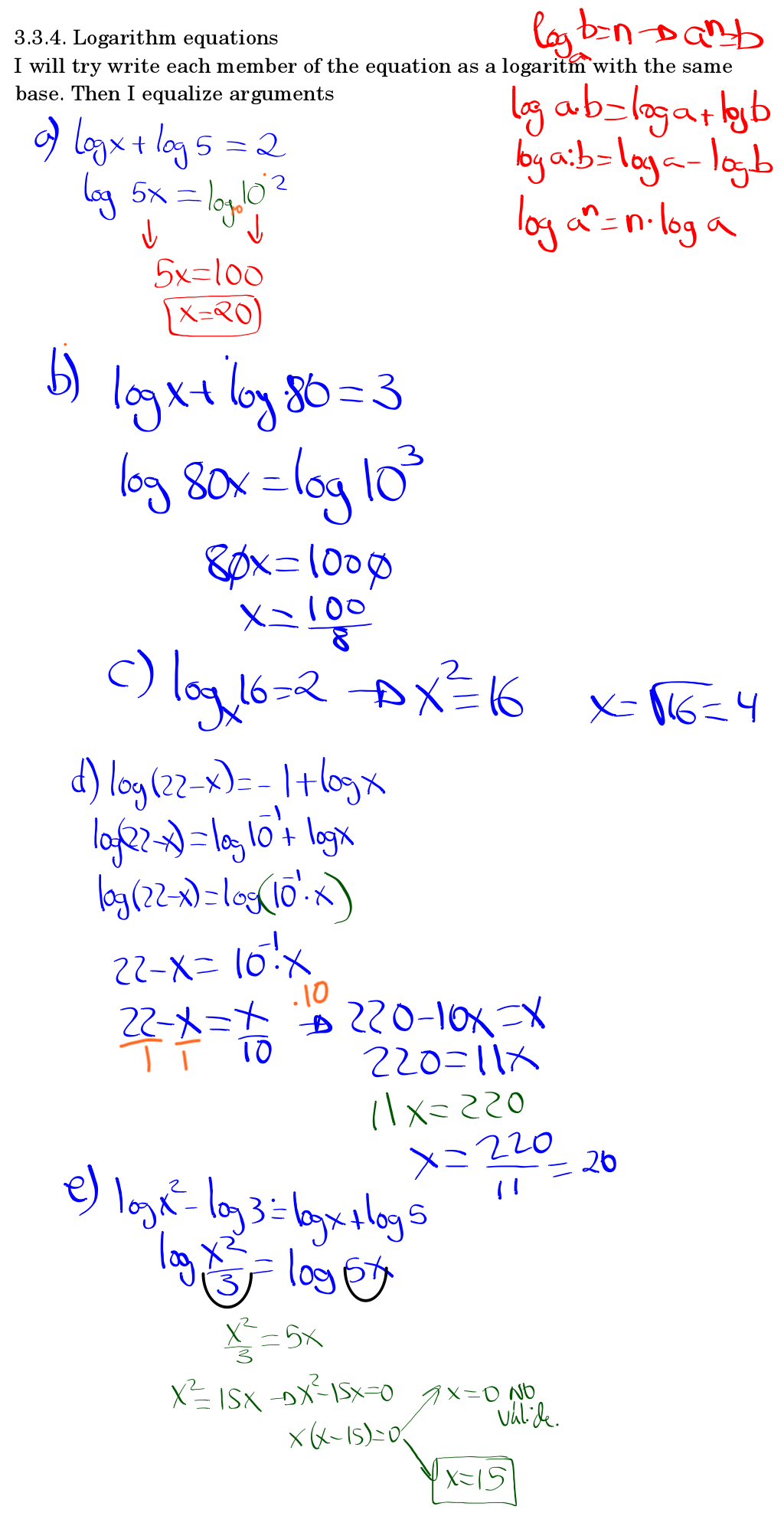
3.3.4. Logarithm equations