Saltar la navegación

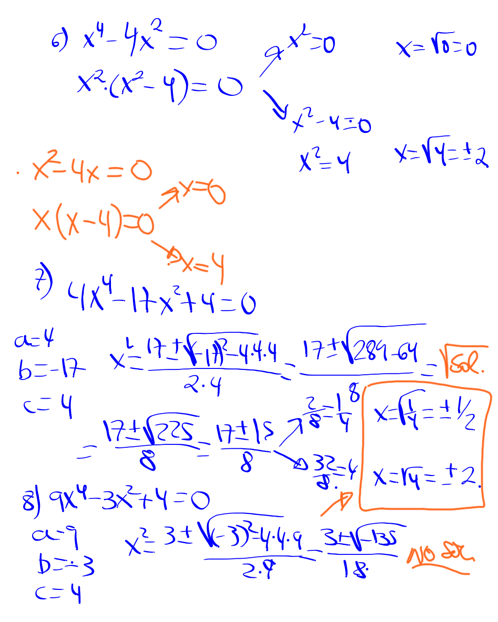
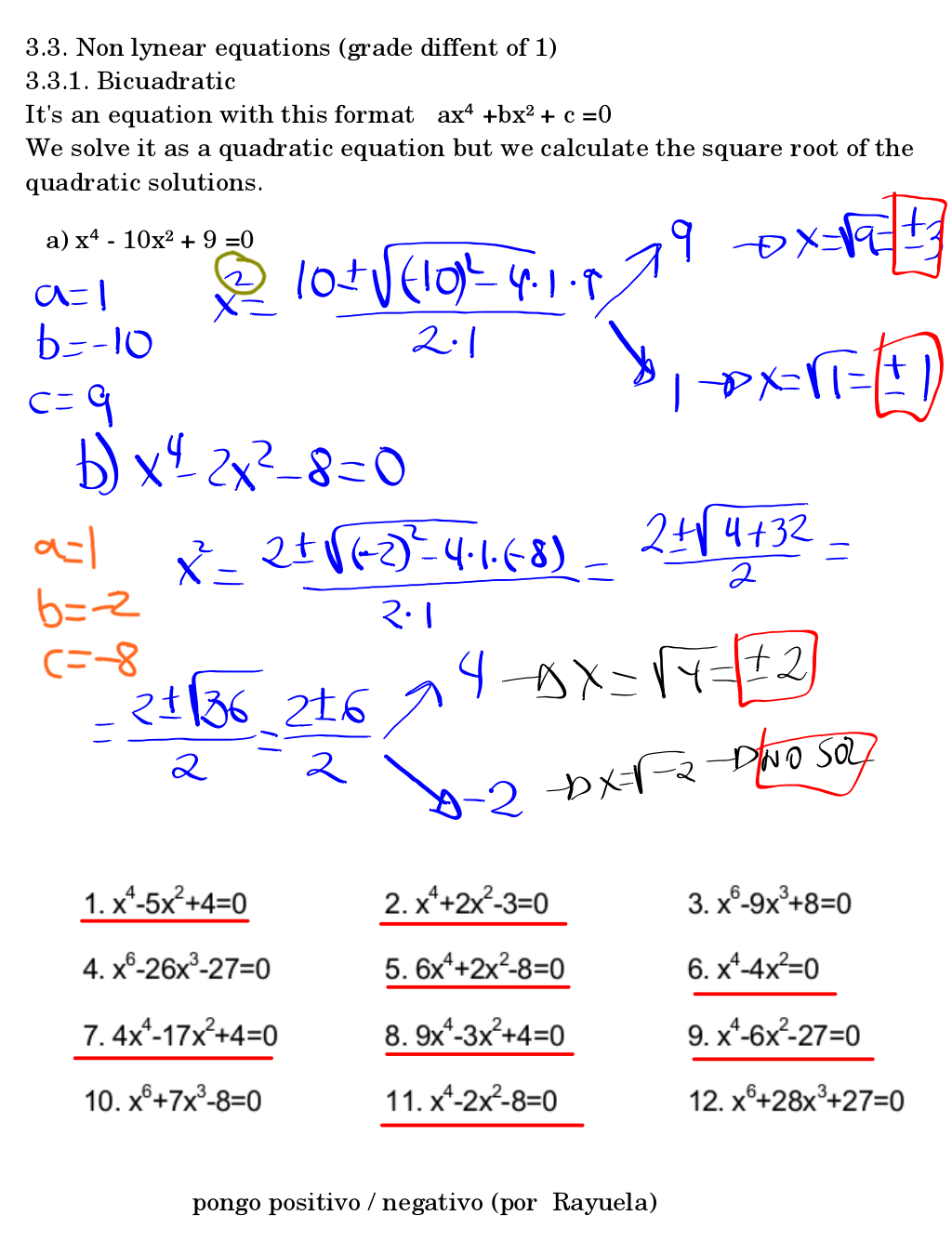
3.3.1. Bicuadratic equations