Saltar la navegación

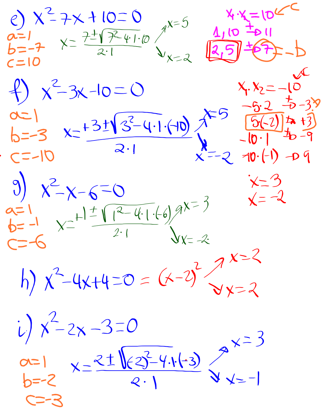
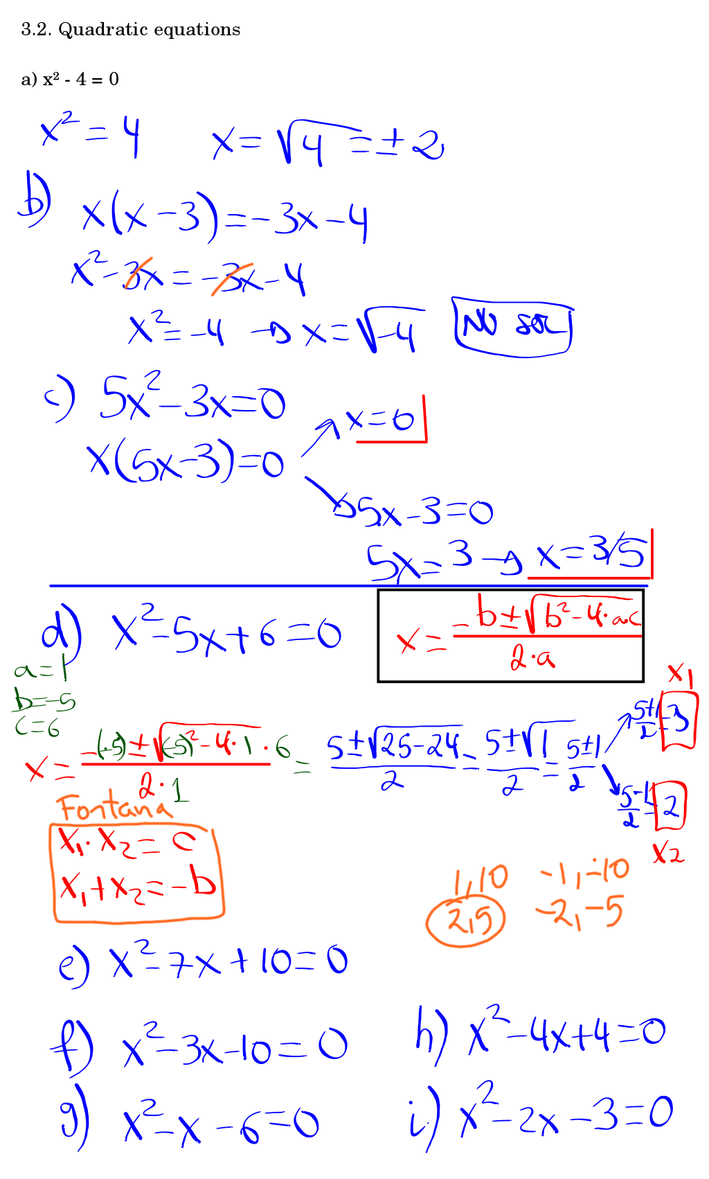
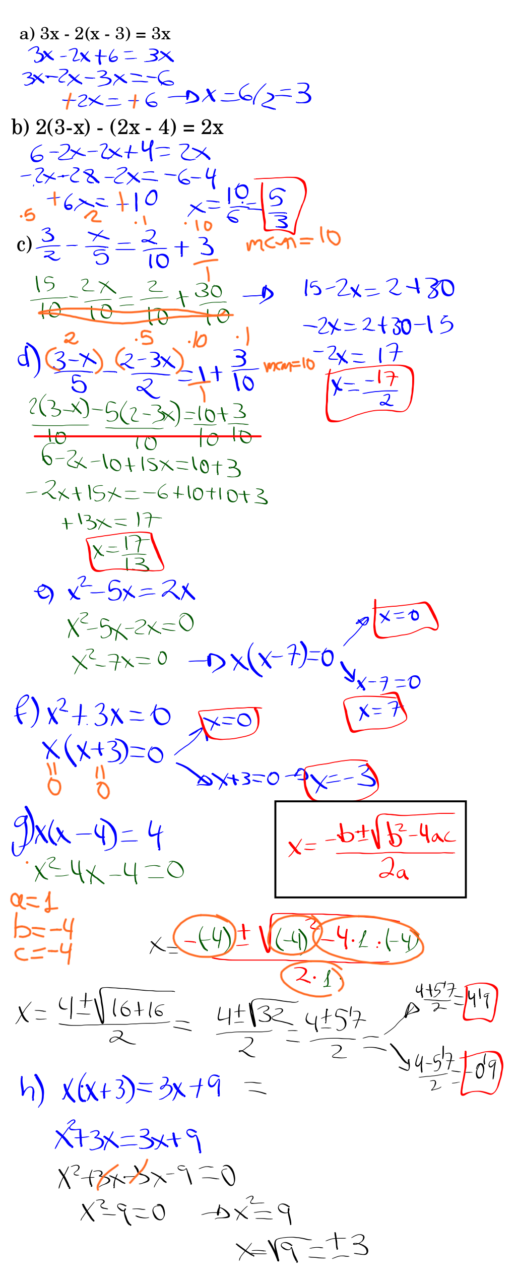
3.2. Cuadratic equations