Saltar la navegación

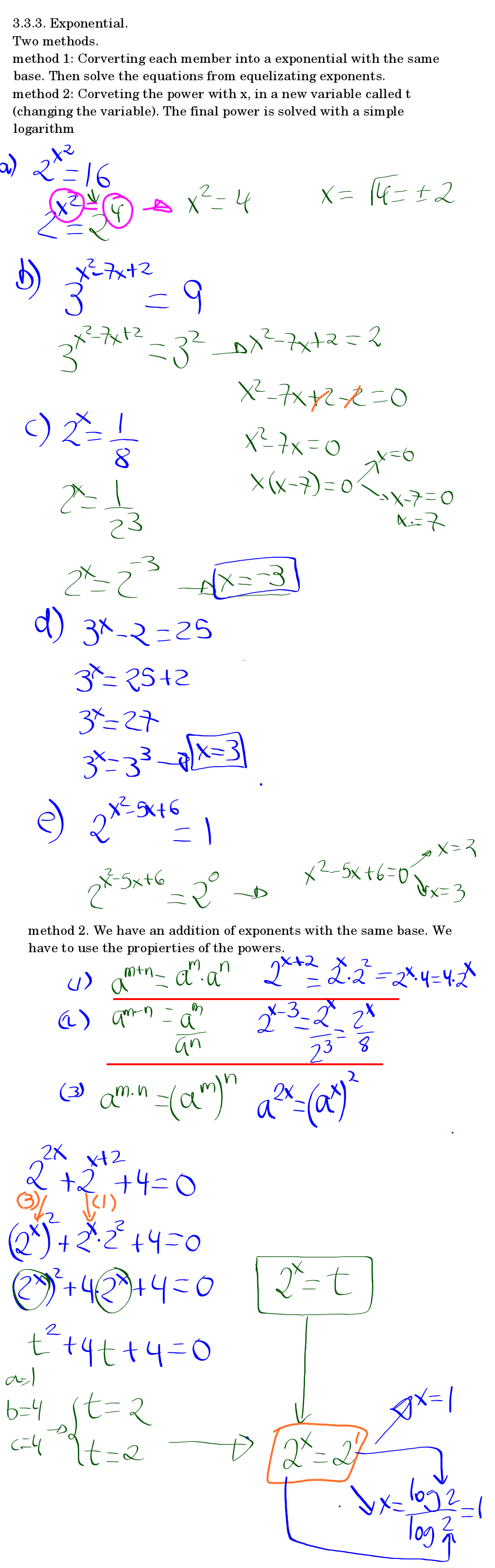
3.3.3. Exponential equations