1 Bachillerato - CS I - Unit 3 - Equations
3.8. Self assessments
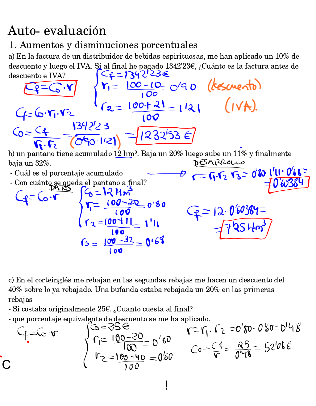
Ficha 1


Ficha 2








Obra publicada con Licencia Creative Commons Reconocimiento No comercial Compartir igual 4.0










Obra publicada con Licencia Creative Commons Reconocimiento No comercial Compartir igual 4.0