1 Bachillerato - CS I - Unit 3 - Equations
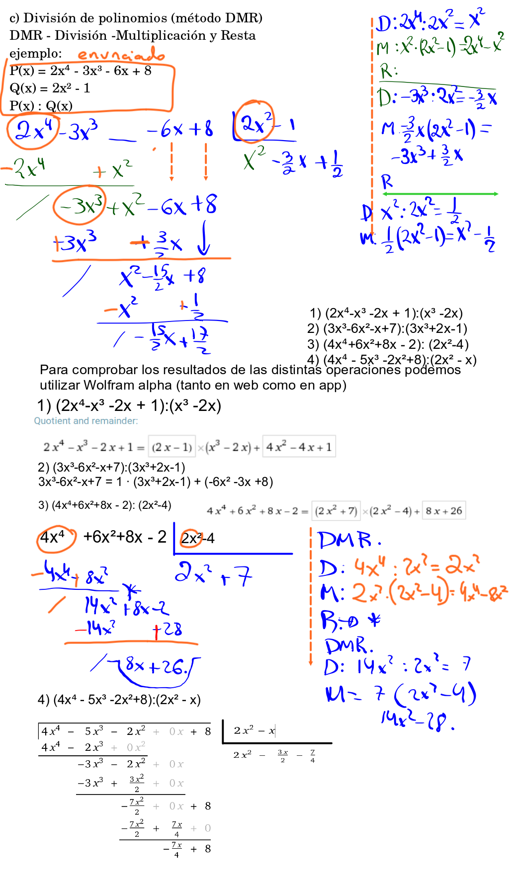
3.1. Polynoms. Operations
Apuntes de clase







Obra publicada con Licencia Creative Commons Reconocimiento No comercial Compartir igual 4.0







Obra publicada con Licencia Creative Commons Reconocimiento No comercial Compartir igual 4.0