Maths 1 ESO - Unit 1 - Natural numbers
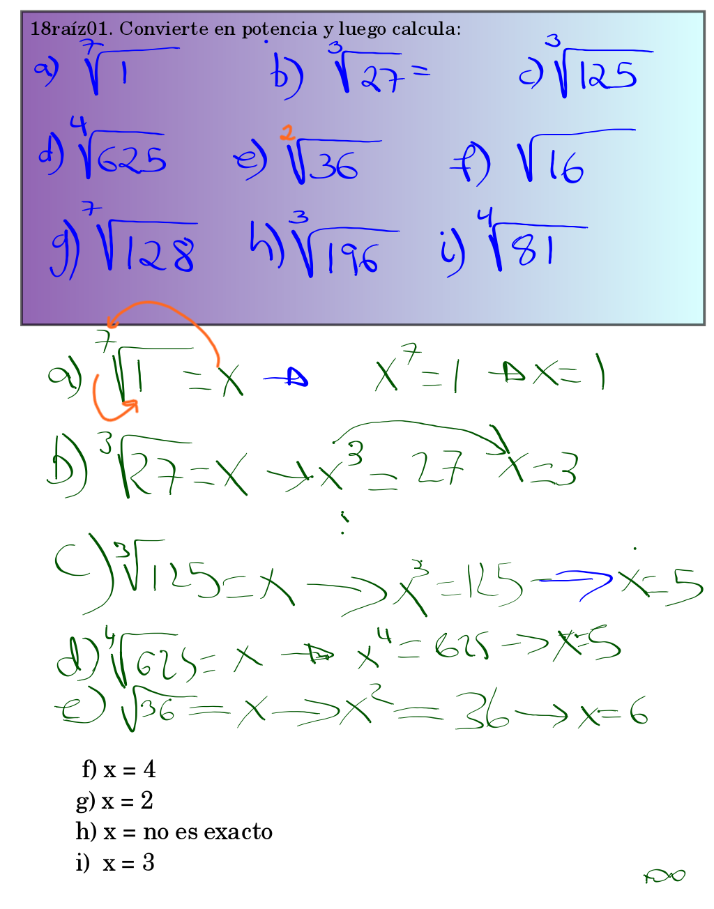
1.2.2. Roots and logarithms



Obra publicada con Licencia Creative Commons Reconocimiento No comercial Compartir igual 4.0



Obra publicada con Licencia Creative Commons Reconocimiento No comercial Compartir igual 4.0