Maths 1 bachillerato - Matemáticas I - Unit 6 - Geometría plana
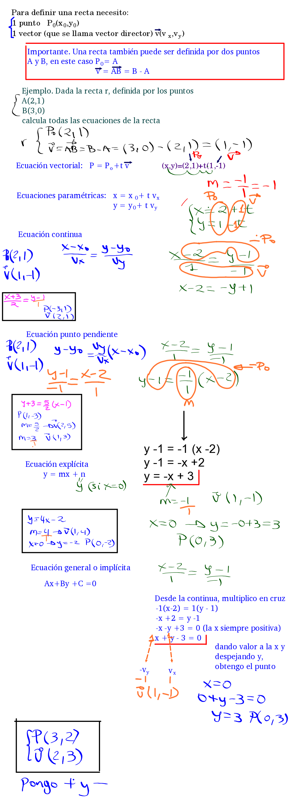
6.3. Rectas


Obra publicada con Licencia Creative Commons Reconocimiento No comercial Compartir igual 4.0


Obra publicada con Licencia Creative Commons Reconocimiento No comercial Compartir igual 4.0