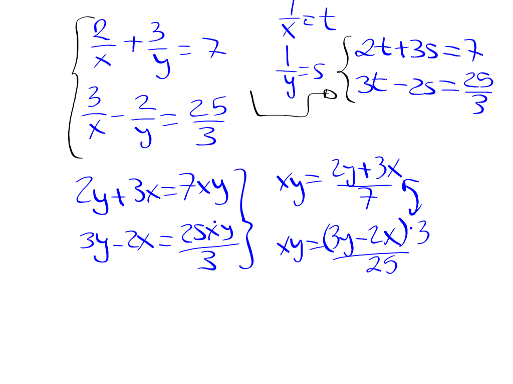
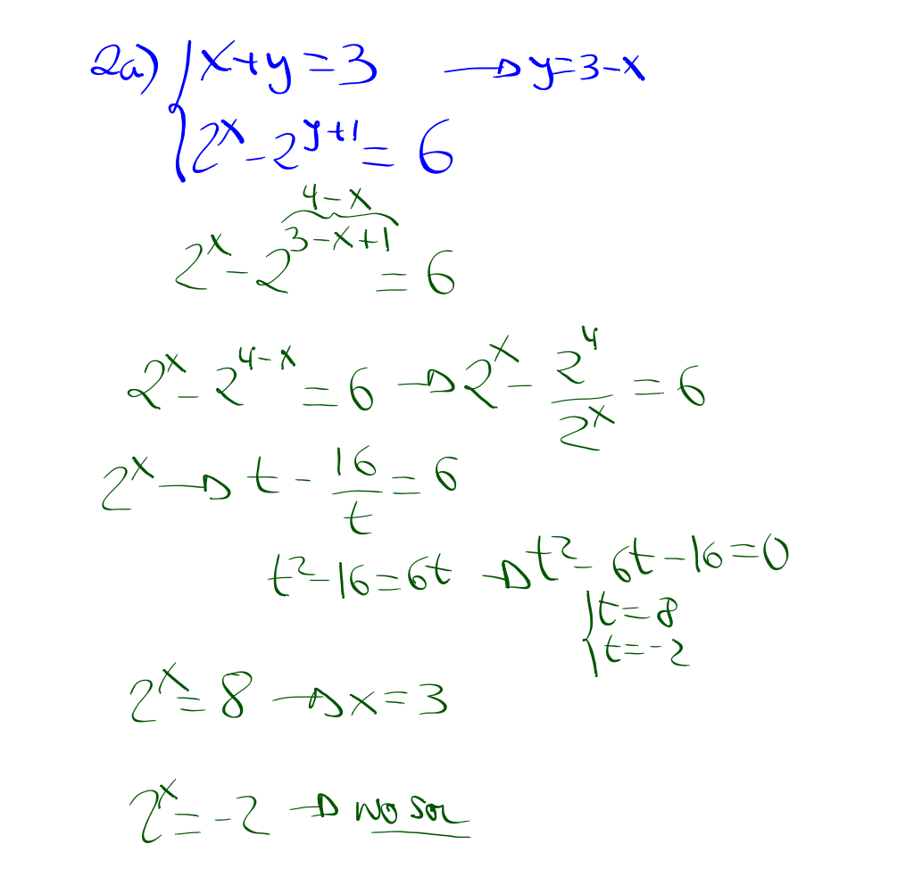
Maths 1 bachillerato - Matemáticas I - Unit 3 - Sistemas
Solutions


Obra publicada con Licencia Creative Commons Reconocimiento No comercial Compartir igual 4.0


Obra publicada con Licencia Creative Commons Reconocimiento No comercial Compartir igual 4.0