Maths 1 bachillerato - Matemáticas I - Unit 1 - Real Numbers
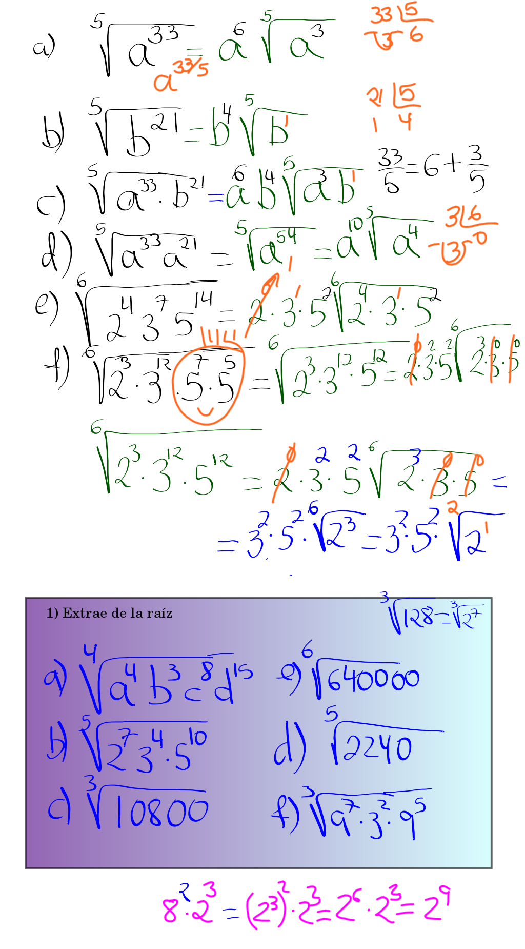
1.5. Radicales









Obra publicada con Licencia Creative Commons Reconocimiento No comercial Compartir igual 4.0









Obra publicada con Licencia Creative Commons Reconocimiento No comercial Compartir igual 4.0