Saltar la navegación

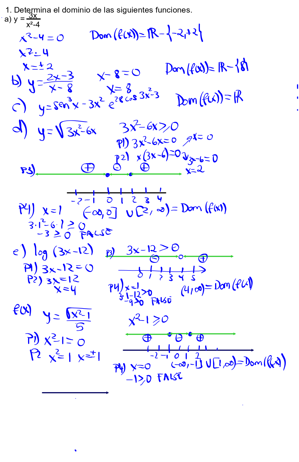
9.2. Domain and range

Apuntes de clase