Saltar la navegación

8.7. Self Assessment

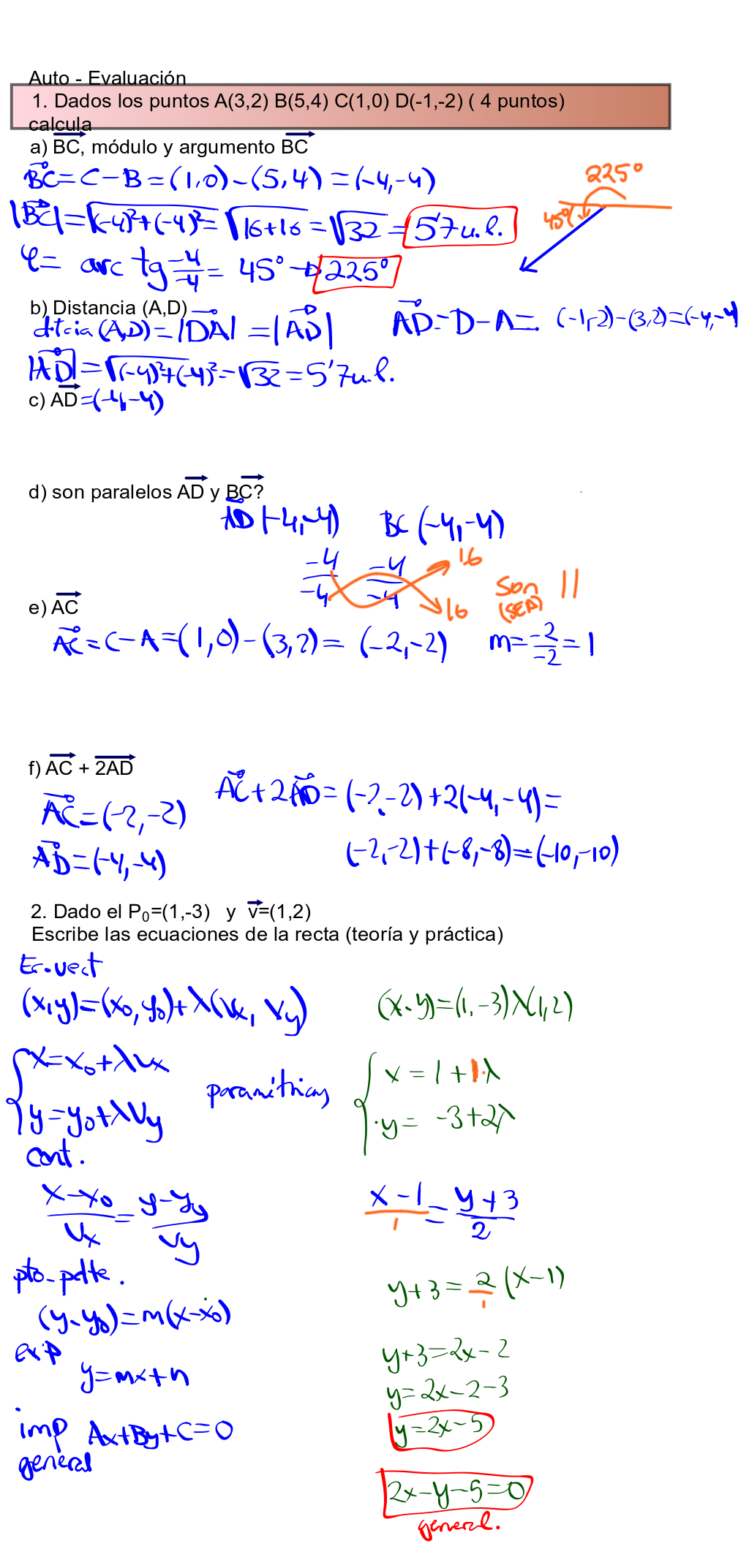
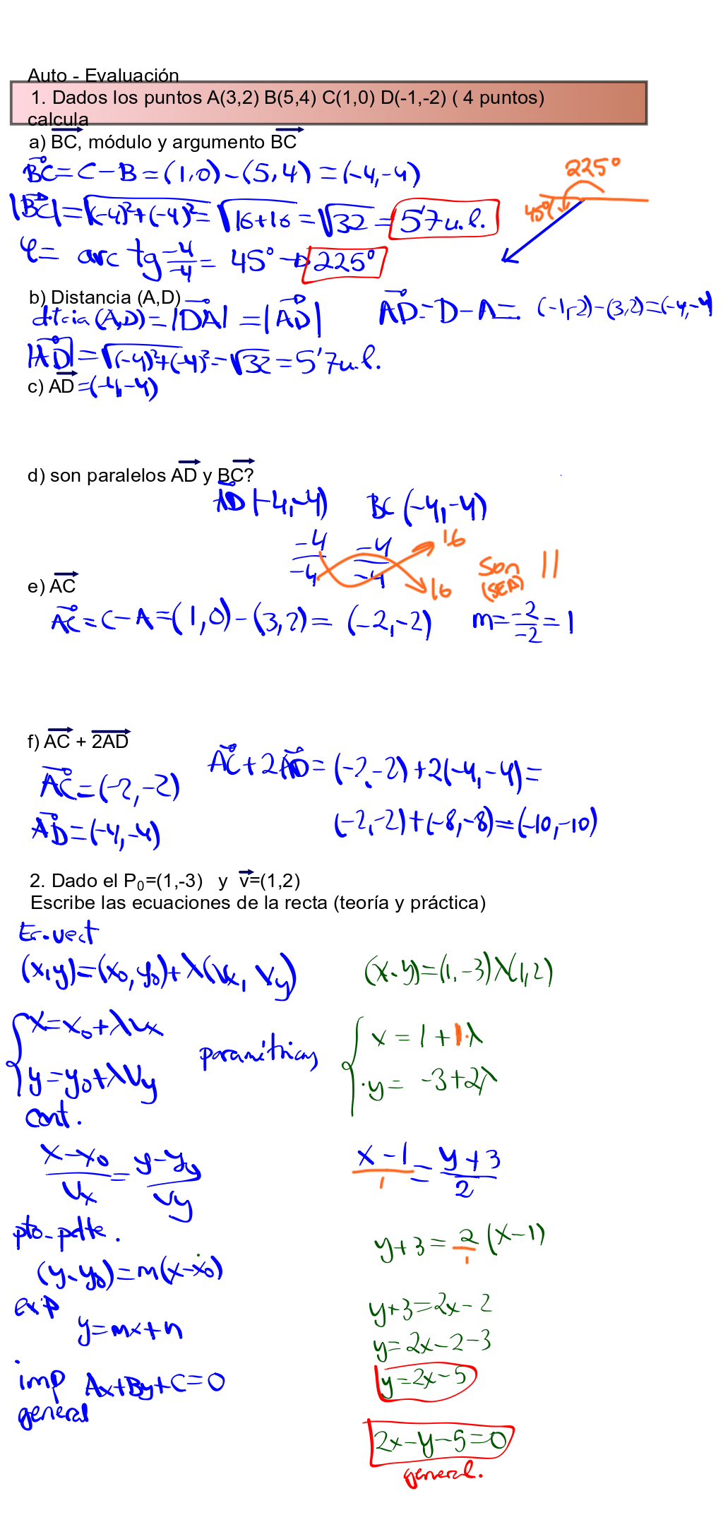
Ficha 1

Ficha 2

Ficha 3