Maths 3 ESO - Unit 7 - Linear Equation System
7.2. Systems of Linear equations
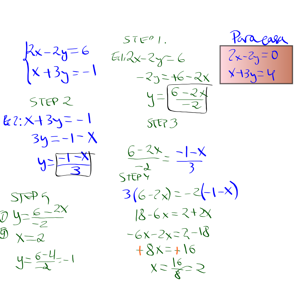
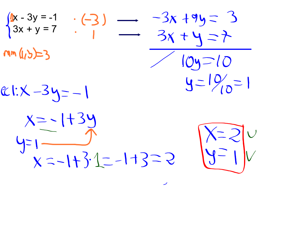
Apuntes de clase











Obra publicada con Licencia Creative Commons Reconocimiento No comercial Compartir igual 4.0











Obra publicada con Licencia Creative Commons Reconocimiento No comercial Compartir igual 4.0