Maths 3 ESO - Unit 02 - Powers and roots
Solutions
Power propierties exercises


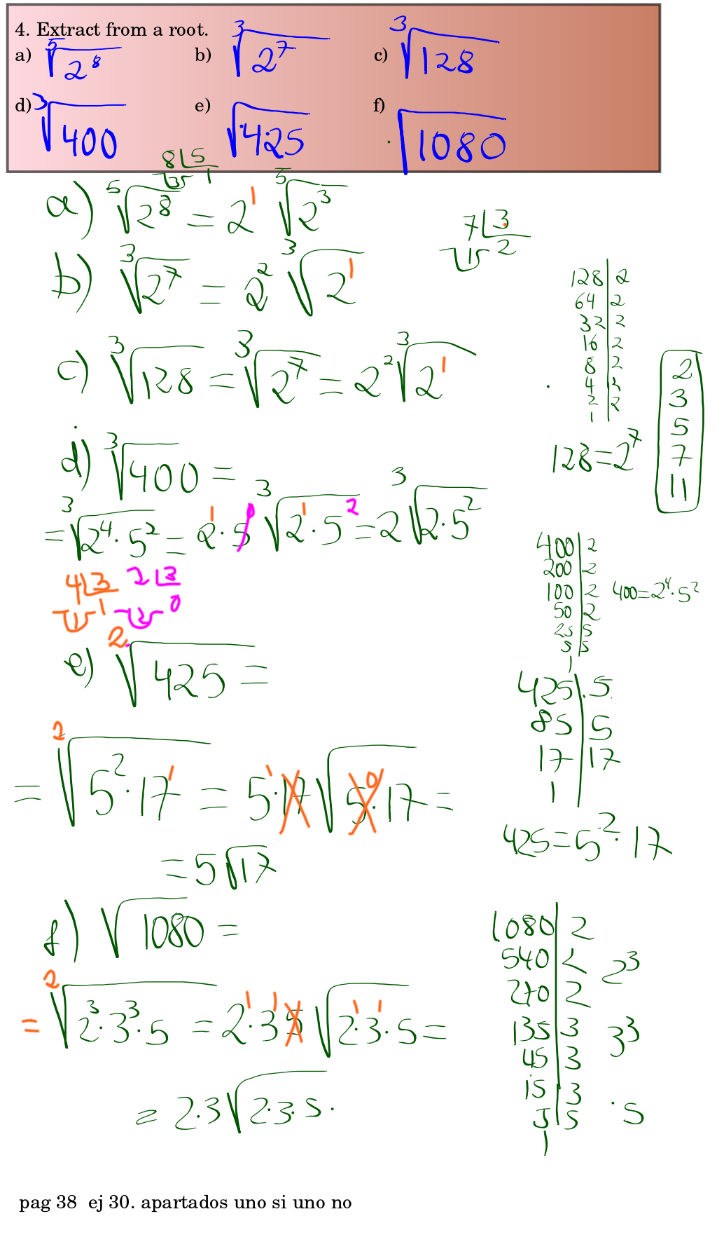
Roots exercises



Obra publicada con Licencia Creative Commons Reconocimiento No comercial Compartir igual 4.0





Obra publicada con Licencia Creative Commons Reconocimiento No comercial Compartir igual 4.0