1 Bachillerato - CS I - Unit 3 - Equations
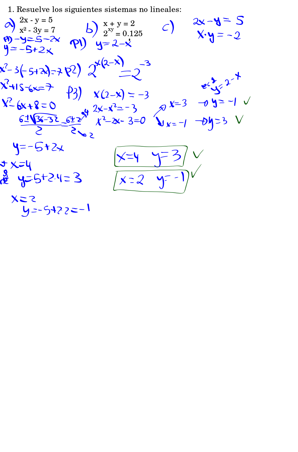
4.4. Non lineal system


Obra publicada con Licencia Creative Commons Reconocimiento No comercial Compartir igual 4.0


Obra publicada con Licencia Creative Commons Reconocimiento No comercial Compartir igual 4.0