1 Bachillerato - CS I - Unit 2 - Finantial maths
2.2. Interest
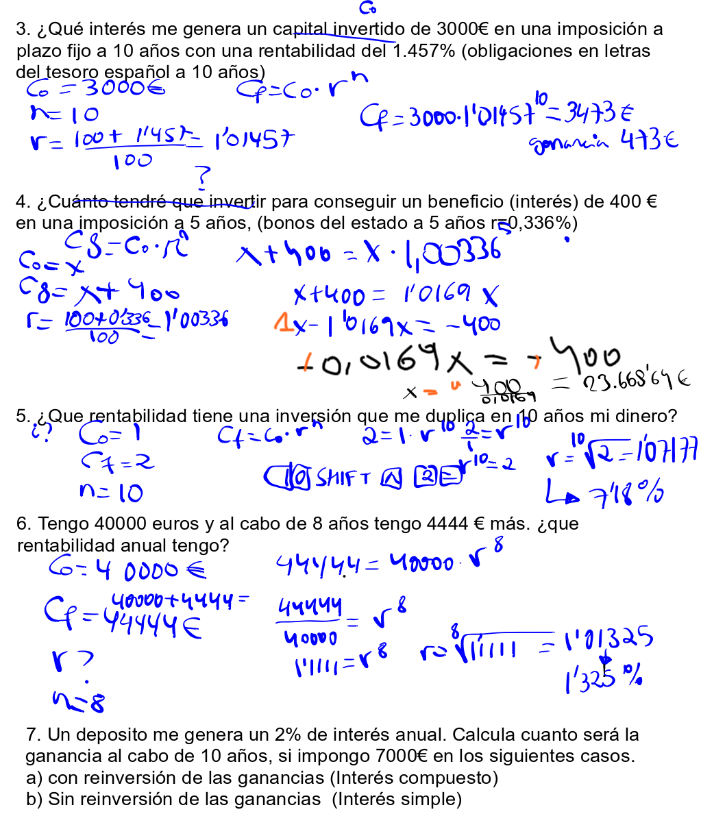
Apuntes de clase



Obra publicada con Licencia Creative Commons Reconocimiento No comercial Compartir igual 4.0



Obra publicada con Licencia Creative Commons Reconocimiento No comercial Compartir igual 4.0