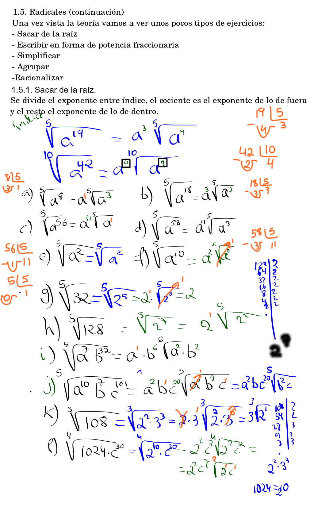
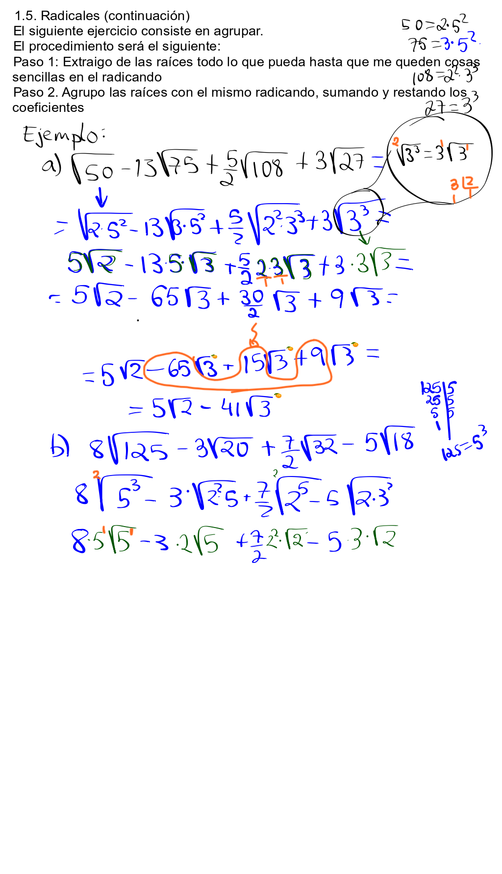
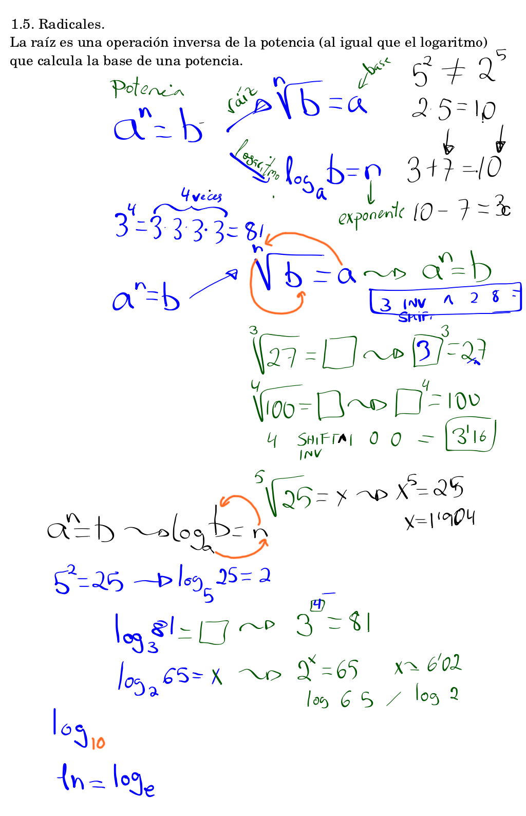
Saltar la navegación

1.5. Surds

Apuntes de clase